دی، ماه حذف رانت ارزی با طعم تورم ۶۰ درصدی
گزارش مرکز آمار ایران از شاخص قیمت مصرفکننده دیماه ۱۴۰۴، سند رسمی برخورد موج ناشی از حذف ارز ترجیحی به سفره شهروندان است. در ماهی که ارز تکنرخی شد، تورم نقطه به نقطه از حصار ۵۰ درصدی عبور کرد و به ۶۰ درصد رسید تا مشخص شود که حذف رانت ارزی، هزینههایی دارد، که دولت با رونمایی از سیاست یارانهای و پرداخت کالابرگ یک میلیون تومانی تلاش کرده است پوشش دهنده این هزینهها برای دهکهای کمدرآمد باشد.
گزارش مرکز آمار ایران از شاخص قیمت مصرفکننده دیماه ۱۴۰۴، سند رسمی برخورد موج ناشی از حذف ارز ترجیحی به سفره شهروندان است. در ماهی که ارز تکنرخی شد، تورم نقطه به نقطه از حصار ۵۰ درصدی عبور کرد و به ۶۰ درصد رسید تا مشخص شود که حذف رانت ارزی، هزینههایی دارد، که دولت با رونمایی از سیاست یارانهای و پرداخت کالابرگ یک میلیون تومانی تلاش کرده است پوشش دهنده این هزینهها برای دهکهای کمدرآمد باشد.
موفقیت این جراحی در ماههای آتی منوط به این است که دولت چگونه میتواند ثبات را به بازار ارز تکنرخی بازگرداند و قدرت خرید فرسوده شده دهکهای پایین را ترمیم کند تا ضرب این سقوط قدرت خرید را مهار کند.
تحلیل ارقام کلیدی
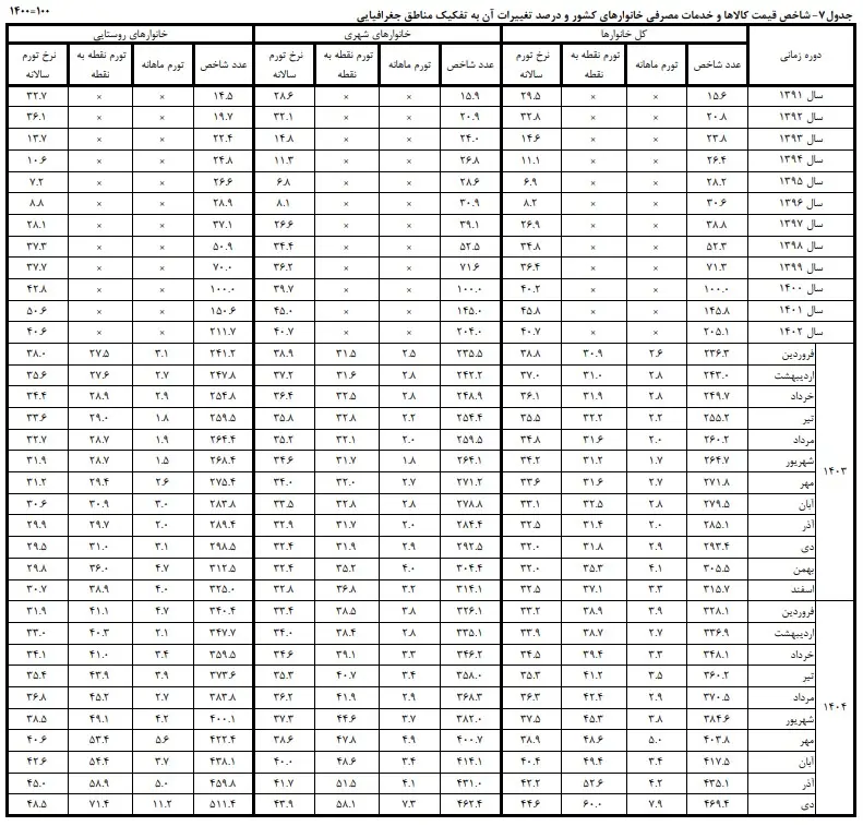
برای درک ابعاد این جراحی اقتصادی باید نگاهی به فاصله معنادار آمارهای آذرماه و دیماه انداخت. در حالی که ماه آذر با شاخص قیمت مصرف کننده خانوار ۴۳۵.۱ واحد و تورم ماهانه ملایم ۴.۲ درصدی به پایان رسیده بود، ورود به دیماه و اجرای سیاست ارزی جدید، معادلات را به کلی تغییر داد.

شاخص قیمت با پرشی ۳۴.۳ واحدی، از ۴۳۵.۱ در آذر به ۴۶۹.۴ در دی رسید. این صعود ناگهانی تنها در ۳۰ روز، مستقیما ناشی از انتقال هزینههای وارداتی به قیمت تمامشده کالاهاست. تورم ماهانه از ۴.۲ درصد در آذر به ۷.۹ درصد در دی رسید. این یعنی سرعت رشد قیمتها در اولین ماه اجرای طرح، تقریبا دو برابر شده است.

تورم نقطه به نقطه که در آذرماه روی عدد ۵۲.۶ درصد ایستاده بود در دیماه با جهشی خیرهکننده به ۶۰ درصد رسید. افزایش ۷.۴ درصدی این شاخص در یک ماه، گویاترین نشانه از تخلیه اثر حذف ارز ترجیحی بر قیمتها است.

تورم سالانه هم که در آذر ۴۲.۲ درصد بود، با رشدی ۲.۴ واحدی به ۴۴.۶ درصد رسید. این تغییر جهت در روند تورم سالانه، نشاندهنده آن است که اثر این شوک به قدری قدرتمند بوده که میانگین دوازدهماهه را نیز سریعا تحت تاثیر قرار داده است.


اما در این میان پرداخت کالابرگ یک میلیون تومانی به هر فرد تدبیری است حیاتی که دولت همزمان با آزادسازی نرخ ارز، اجرایی کرد. منابع این طرح که از محل مابهالتفاوت حذف ارز ترجیحی (حدود ۱۲ میلیارد دلار) تأمین شده، تلاشی برای تغییر پارادایم از «حمایت از واردکننده» به «حمایت از مصرفکننده نهایی» است.
اصابت مستقیم حذف ارز ترجیحی به گروه خوراکیها
طبیعی بود که بیشترین اثرگذاری حذف ارز ترجیحی در بخش «خوراکیها، آشامیدنیها و دخانیات» مشاهده شود. از آنجا که بخش عمدهای از کالاهای اساسی و نهادههای دامی پیش از این با ارز ترجیحی تامین میشدند، تکنرخی شدن ارز منجر به تورم ماهانه ۱۳.۷ درصدی در این گروه شد.
روغنها و چربیها با ثبت تورم ماهانه ۵۱.۸ درصدی، رکورددار اثرپذیری از تغییر نرخ ارز بودند. این جهش خیرهکننده مستقیما به وابستگی شدید این بخش به واردات مواد اولیه با نرخ ترجیحی ارز مربوط است که حالا به قیمت بازار تامین میشود. اما در این میان گروههای «گوشت قرمز و سفید» با ۱۸.۹ درصد و «لبنیات و تخممرغ» با ۱۹.۳ درصد رشد ماهانه، واکنش سریعی به افزایش هزینه نهادههای دامی نشان دادند.

عدالت توزیعی و شکاف دهکها در پس جراحی ارزی
یکی از پیامدهای نگرانکننده این سیاست در دیماه، فشار نامتقارن بر دهکهای پایین درآمدی است. از آنجا که سهم خوراکیها در سبد هزینه خانوارهای کمدرآمد بسیار بالاتر از ثروتمندان است، حذف ارز ارزانقیمت کالاهای اساسی، تورم سالانه ۴۶.۸ درصدی را برای دهک دوم به ارمغان آورده، در حالی که این رقم برای دهک دهم ۳.۳ واحد درصد کمتر (۴۳.۵ درصد) است. این سیاست منجر به افزایش شکاف تورمی میان شهر و روستا شده است. روستاییان با تورم ماهانه ۱۱.۲ درصدی، فشار بسیار سنگینتری را نسبت به شهرنشینان با تورم ۷.۳ درصدی تحمل کردند. اما اصابت کالابرگ یک میلیون تومانی در این مناطق میتواند اثرات رفاهی ملموستری داشته باشد و از سقوط ناگهانی سطح معیشت در روستاها جلوگیری کند.

آیا کالابرگ حریف تورم ۶۰ درصدی میشود؟
بررسی دهکهای هزینهای نشان میدهد که تورم سالانه برای دهک دوم به ۴۶.۸ درصد رسیده است. در چنین شرایطی، کالابرگ یک میلیون تومانی برای یک خانواده چهار نفره (معادل ۴ میلیون تومان اعتبار خرید)، میتواند بخشی از افزایش هزینههای خوراکی را پوشش دهد. با این حال به دلیل ماهیت پولی مالی تورم در ایران، موفقیت سیاست پرداخت کالابرگ مشروط به دو عامل است:
اول کنترل نقدینگی: اگر پرداخت این یارانه منجر به کسری بودجه و استقراض شود، خود به موتور جدید تورم تبدیل خواهد شد.
دوم پایداری اعتبار: با توجه به تورم نقطه به نقطه ۶۰ درصدی، قدرت خرید همین یک میلیون تومان نیز به سرعت در حال کاهش است و دولت باید سازوکاری برای تعدیل متناسب آن پیشبینی کند.
اگرچه این رقم یک میلیون تومانی در کوتاهمدت میتواند شوک قیمتهای کلیدی را برای دهکهای پایین تعدیل کند، اما نکته اساسی در زمانبندی این سیاست نهفته است. هرچند این کالابرگ هوشمند باید بسیار پیشتر از اینها و پیش از فرسوده شدن کامل توان پسانداز خانوارها مستقر میشد تا از اصابت مستقیم موج اول گرانی به سلامت تغذیهای جامعه جلوگیری کند.

جراحی بیبازگشت
مقایسه دادههای آذر و دی نشان میدهد که بخش بزرگی از انتظارات تورمی و واقعیتهای قیمتی ناشی از تکنرخی شدن ارز در شاخص دیماه تخلیه شده است. پرش ۷.۴ درصدی تورم نقطه به نقطه، بهای سنگینی است که اقتصاد برای حذف رانت ارزی و شفافسازی قیمتها پرداخت. با این حال، اگرچه تکنرخی شدن ارز در بلندمدت میتواند به کاهش فساد و تخصیص بهینه منابع منجر شود، اما در کوتاهمدت، جهش شاخص قیمت مصرفکننده از ۴۳۵.۱ به ۴۶۹.۴ نشاندهنده یک فشار هزینهای شدید است. سیاستگذار اکنون با چالش بزرگ کنترل دور دوم تورم مواجه خواهد بود؛ یعنی جلوگیری از اینکه افزایش قیمت خوراکیها به بهای خدمات و سایر کالاهای غیرخوراکی سرایت نکند.
خلاصه که دیماه ۱۴۰۴ نقطه عطفی در اقتصاد ایران است. شاخص قیمتها از ۴۳۵.۱ به ۴۶۹.۴ رسید تا رانت ارزی حذف شود. اکنون توپ در زمین سیاستهای جبرانی است. کالابرگ یک میلیون تومانی، اگرچه نوشدارویی است که دیر به بالین معیشت رسیده، اما در صورت تداوم و مدیریت صحیح منابع، میتواند مانع از تبدیل فشار قیمتی به بحران تغذیهای در دهکهای فرودست شود. چالش اصلی دولت در ماههای آتی، حفظ ارزش این کالابرگ در برابر موجهای احتمالی بعدی تورم است.